Breaking News


Fast, Reliable, and Uncensored News Coverage

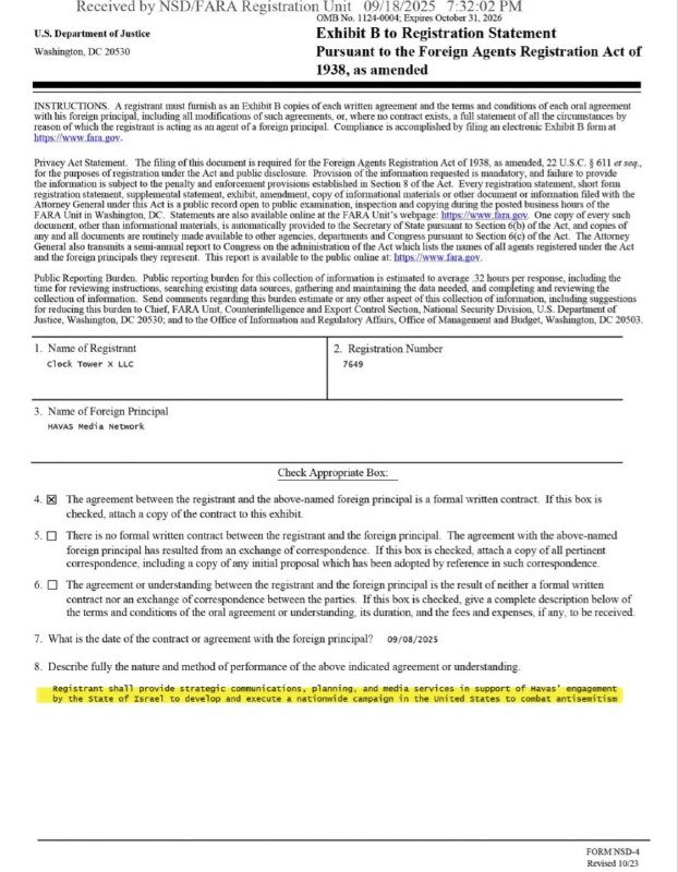
Former Trump campaign manager Brad Parscale has officially registered as a foreign agent for Israel, filing paperwork in the U.S. this month.
The registration comes under the Foreign Agents Registration Act (FARA), which mandates that persons engaged in advocacy on behalf of foreign entities disclose their relationships.
Parscale’s role will involve orchestrating digital and media campaigns aimed at promoting Israel’s interests, including content targeting U.S. audiences.
The effort is tied to Israeli initiatives to counter anti-Israel sentiment, especially online.
The registration indicates the scope and compensation of his activities, ensuring public transparency.
A spokesperson for Parscale said his firm will “design and deploy messaging to counter disinformation and strengthen Israel’s image in U.S. public discourse.

